Home
Favorites
My Account
Menu
Common Core Sheets
Matematica
Ortografia
creare una recensione
creare un test
creare un foglio
migliorare un paragrafo
Accedere
x
Pannello degli insegnanti
>
My Account
Distance Learning Assignments
Mia Classe
Opzioni
Matematica
>
Addizione
Sottrazione
Moltiplicazione
Divisione
Algebra
Angoli
Area & Perimetro
Bilanciare le Equazioni
Grafico a Barre
Box Plot
Capacità
Conversioni
Contare
Decimali
Divisione
Esercizi intensivi di Matematica
Famiglie di Operazioni
Fattori
Frazioni
Piano Cartesiano
Linee
Grafici a barre
Grafici a linee
it
Misure
Denaro
Moltiplicazione
Problemi con più parti
Numeri Negativi
Ordine delle Operazioni
Schemi & Funzioni
Percentuali
Probabilità
Proprietà
Rapporti
Arrotondamento
Forme
Statistica
Sottrazione
Conteggio
Temperatura
Tempo
Valore
Variabili
Pesi
Volume
Esercizi intensivi di Matematica
Pannello degli insegnanti
>
My Account
Distance Learning Assignments
Mia Classe
Opzioni
Lingue
>
spanish
german
russian
italian
vietnamese
french
english
Sostieni
>
Patreon
Paypal
Argomenti Vari
>
Contact & Comment
Come usare i fogli di lavoro
Contact & Comment
Home
Schede di matematica
Esercizi sulle Frazioni
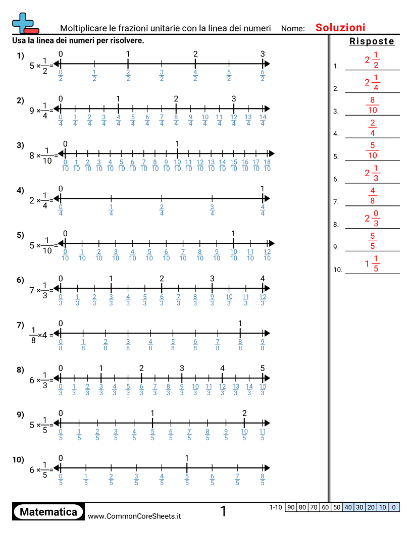
Moltiplicare frazioni unitarie con linee dei numeri
Like
Annuncio
Moltiplicare frazioni unitarie con linee dei numeri
Worksheet
Uno alla volta
Schede flash
Apprendimento a distanza
Crea nuovo foglio
Tags
numerico
visivo
orizzontale
retta numerica
frazioni
moltiplicazione
Standards
4nf4a
Related Worksheets
Annuncio